WebKit renders mathematical formulas
Those who need to display mathematical formulas on web pages can either use an image, as for example can be found in the Wikipedia entry on integrals, or use the MathML XML language. The free, open source WebKit browser now supports this dialect, although its support is currently limited to the nightly builds, which are intended for developers and for those who like to experiment with cutting edge software.
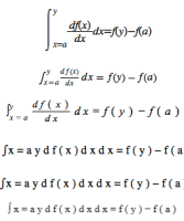
One formula, six browsers (from top to bottom): WebKit (nightly build), Firefox, Opera, Chrome, Safari and Internet Explorer 9 (fourth preview).
A sample page allows users to test how a browser will interpret MathML. Firefox and Opera provide a result similar to that of WebKit, although they differ considerably in the detail provided. Chrome, Safari and Internet Explorer 9 (platform preview 4) completely ignore the MathML elements. IE 8 doesn't display the page because it seems unable to handle its MIME type, application / xhtml+xml.
The differences in the display of this specific integral are, among other things, caused by the different interpretations of the maxsize attribute. While Firefox and Opera both interpret it and use the W3C definition to determine the upper limit of a symbol that is variable in size, WebKit currently ignores the attribute, displaying integrals in the size dictated by the integrand.
(crve)
![Kernel Log: Coming in 3.10 (Part 3) [--] Infrastructure](/imgs/43/1/0/4/2/6/7/2/comingin310_4_kicker-4977194bfb0de0d7.png)

![Kernel Log: Coming in 3.10 (Part 3) [--] Infrastructure](/imgs/43/1/0/4/2/3/2/3/comingin310_3_kicker-151cd7b9e9660f05.png)
















